首页 | 学院概况 | 党群工作 | 师资队伍 | 人才培养 | 科学研究 | 学生工作 | 院友之家 | 专业认证 | 下载中心 
首页
提示: 网站导航组件在当前页面和配置下,没有获得可显示的导航项。
通知公告
当前位置: 首页>>通知公告>>正文
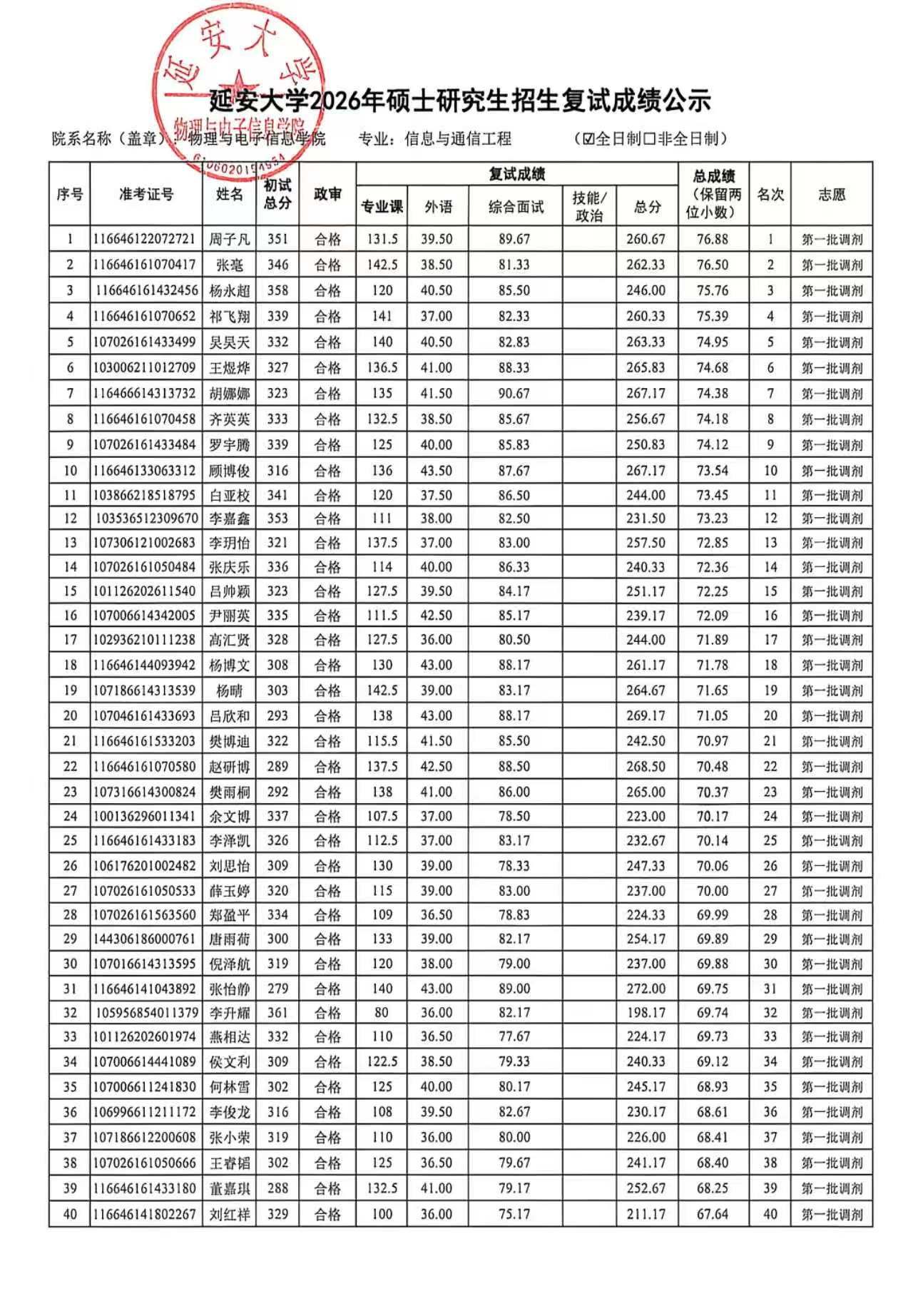
物理与电子信息学院2026年硕士研究生招生调剂考生复试成绩公示(信息与通信工程)
2026-04-10 13:19  

各位考生:

依照我院2026年硕士研究生复试录取工作实施方案和调剂复试工作安排,安排在202649日的信息与通信工程专业调剂考生复试工作已经圆满结束,现将具体的复试成绩进行公示,公示时间为十个工作日。


关闭窗口
                                                                                                                    版权所有:延安大学物理与电子信息学院
   
地  址:陕西省延安市宝塔区公学北路延安大学 邮 编:716000 电 话:0911-2650504(办公室) E-mail: ydwdxy@126.com