首页
|
学院概况
|
党群工作
|
师资队伍
|
人才培养
|
科学研究
|
学生工作
|
院友之家
|
专业认证
|
下载中心
学院简介
组织机构
制度文件
学院院训
学院院徽
党群机构
党建动态
党政管理人员
人才称号
教学科研人员
实验技术人员
辅导员队伍
本科生培养
研究生培养
实验平台
科研平台
科研团队
科研项目
科研成果
成果转化
学术交流
工作动态
学生社团
院友之家
师范专业认证
工程专业认证
下载专区
首页
提示: 网站导航组件在当前页面和配置下,没有获得可显示的导航项。
通知公告
当前位置:
首页
>>
通知公告
>>
正文
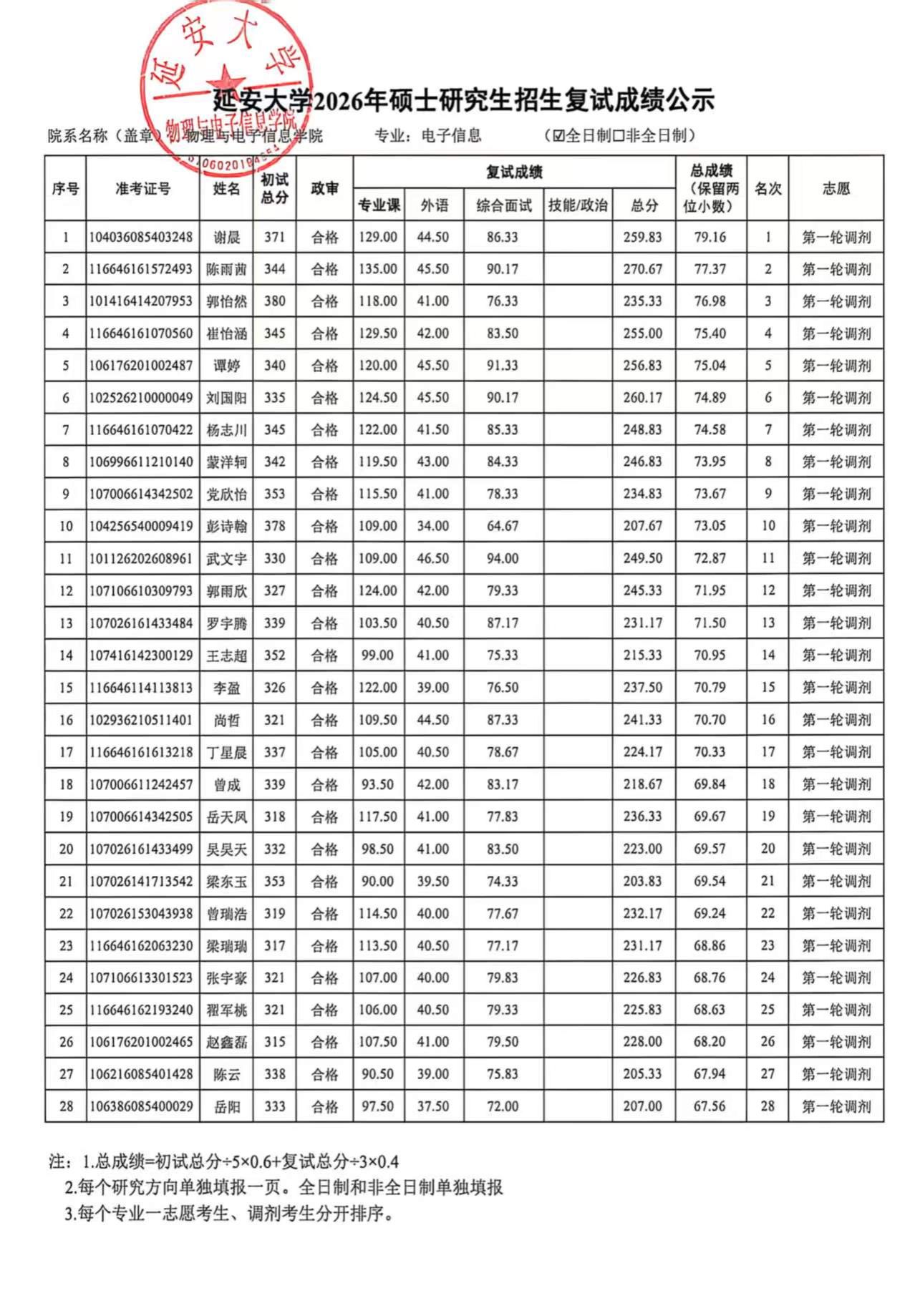
物理与电子信息学院2026年硕士研究生招生调剂考生复试成绩公示(电子信息)
2026-04-10 13:22
各位考生:
依照我院
2026
年硕士研究生复试录取工作实施方案和调剂复试工作安排,安排在
2026
年
4
月
9
日的电子信息专业调剂考生复试工作已经圆满结束,现将具体的复试成绩进行公示,公示时间为十个工作日。
【
关闭窗口
】
版权所有:延安大学物理与电子信息学院
地 址:陕西省延安市宝塔区公学北路延安大学
邮 编:716000
电 话:0911-2650504(办公室)
E-mail: ydwdxy@126.com